BACALAUREAT 2015. Rezolvare subiecte MATEMATICĂ, profile MATE-INFO, TEHNOLOGIC, ŞTIINŢELE NATURII
Publicat pe 01.07.2015 la 14:22 Actualizat pe 01.07.2015 la 15:30
Subiecte Bacalaureat 2015 matematică. Absolvenţii clasei a XII-a de la matematica-informatica, profilul tehnologic, ştiinţele naturii şi profilul pedagogic au susţinut astăzi proba la matematică.
Subiecte Bacalaureat 2015 matematică. Absolvenţii clasei a XII-a de la matematica-informatica, profilul tehnologic, ştiinţele naturii şi profilul pedagogic au susţinut astăzi proba la matematică.
Subiectele de la matematică au fost rezolvate pentru Mediafax.ro de profesorul Ovidiu Horobeţ, de la Colegiul Naţional Matei Basarab. Aici găseşti Subiectele de la Matematică bacalaureat 2015.
REZOLVARE SUBIECTE BACALAUREAT 2015, matematică-informatică
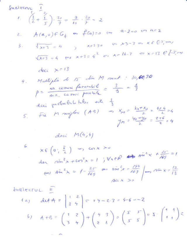
Subiectul 1

Subiectul 2
.jpg)
Subiectul 3

Subiectul 4

REZOLVARE SUBIECTE BACALAUREAT 2015, la Matematică- Tehnologic
Subiectul 1

Subiectul 2

Subiectul 3

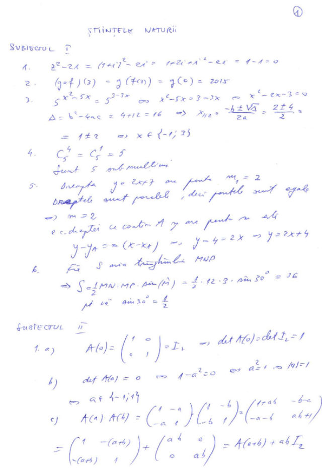
REZOLBARE SUBIECTE MATEMATICĂ BACALAUREAT 2015, la Ştiinţele Naturii
Subiectul 1

Subiect 2

Subiect 3

Următoarea probă de la Bacalaureat 2015, cea la alegere a profilului, se desfăşoară vineri, pe 3 iulie. Rezultatele de la Bacalaureat 2015 se afişează pe 6 iulie, până la ora 12:00, urmând ca în aceeaşi zi să se poată depune contestaţii.
Pe 10 iulie se afişează rezultatele finale de la Bacalaureat 2015.
Calendar Bacalaureat 2015
29 iunie 2015 Limba şi literatura română – proba E)a) – probă scrisă
30 iunie 2015 Limba şi literatura maternă – proba E)b) – probă scrisă
1 iulie 2015 Proba obligatorie a profilului – proba E)c) – probă scrisă
3 iulie 2015 Proba la alegere a profilului şi specializării – proba E)d) – probă scrisă
6 iulie 2015 Afişarea rezultatelor (până la ora 12:00)
6 iulie 2015 Depunerea contestaţiilor (orele 12:00 – 16:00)
7 - 9 iulie 2015 Rezolvarea contestaţiilor
10 iulie 2015 Afişarea rezultatelor finale
Sursă foto: Mediafax
Citeşte şi
BACALAUREAT 2015. Subiectele date la istorie au fost publicate
BACALAUREAT 2015. Calendarul examenelor în sesiunile iunie-iulie / august-septembrie



